Bonjour à tous
J'ouvre un sujet car je n'ai rien trouvé sur ce problème
Je m'explique : j'utilise ma rx8 via la clé uniquement ( ouverture/fermeture... )
à la vente il était fournit 2 télécommandes, le vendeur m'a dit qu'il n'avait pas réussi à faire la programmation
J'ai donc effectué la manip sauf qu’après les 3 pressions sur le contacteur de porte : aucune réaction ( pas de lock/delock comme prévu )
J'ai acheter un boitier elm327 qui ne m'a rien découvert
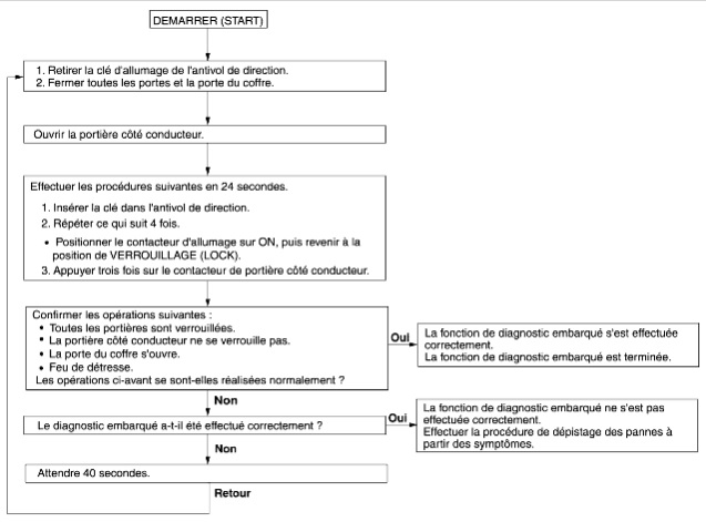
J'ai tenté la procédure Mazda "keyless entry system on-board diagnosis" : rien ne se passe non plus, ça dit donc que la fonction de diagnostique est inopérante
En faite la voiture ne réagit à rien lol...
Des idées ?
Pour info : la centralisation fonctionne avec un coup de clé dans la serrure et les boutons de centralisation à coté des poignées de porte fonctionne aussi
